spbo1即时比分足球比分

教师登录
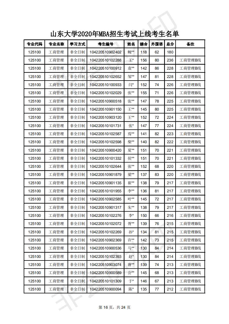
MBA教育
当前位置: 主页 > 新闻资讯 > MBA教育 > Content
编辑:于范   发布时间:2020-04-17  


版权所有 © spbo1即时比分足球比分-spbo1 livescore即时比分  地址:山东省青岛市即墨区滨海路72号 邮编:266237 办公电话:0532-58631828  0532-58631815